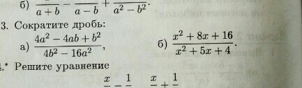
• Помогите пожалуйста Я не понимаю как сократить дроби. номер 3 . сделайте пожалуйста.!

    question img

Ответы 2

  • спасибо огромное
    • Автор:

      lilian79
    • 6 лет назад
    • 0
  • это фотографии решение
    answer img
    • Автор:

      keiraitp9
    • 6 лет назад
    • 0
  • Добавить свой ответ

Войти через Google

или

Забыли пароль?

У меня нет аккаунта, я хочу Зарегистрироваться

How much to ban the user?
1 hour 1 day 100 years