• ПОМОГИТЕ ПОЖАЛУЙСТА! Степень с натуральным показателем и ее свойства

    question img

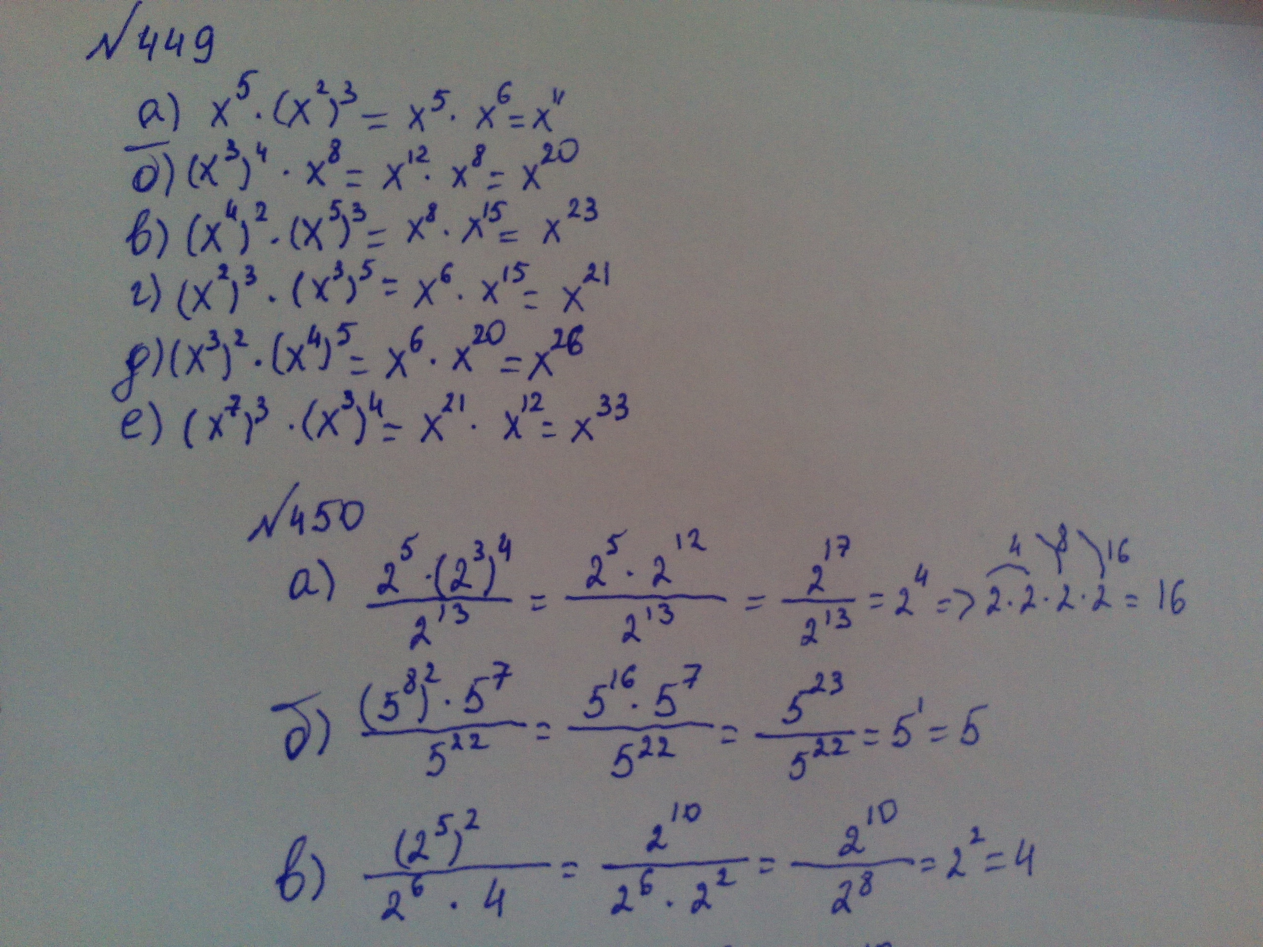
Ответы 1

  • Надеюсь, что я понятно написала, и ты все поймешь.Если что, задавай вопросы в лс.
    answer img
    answer img
    answer img
  • Добавить свой ответ

Войти через Google

или

Забыли пароль?

У меня нет аккаунта, я хочу Зарегистрироваться

How much to ban the user?
1 hour 1 day 100 years