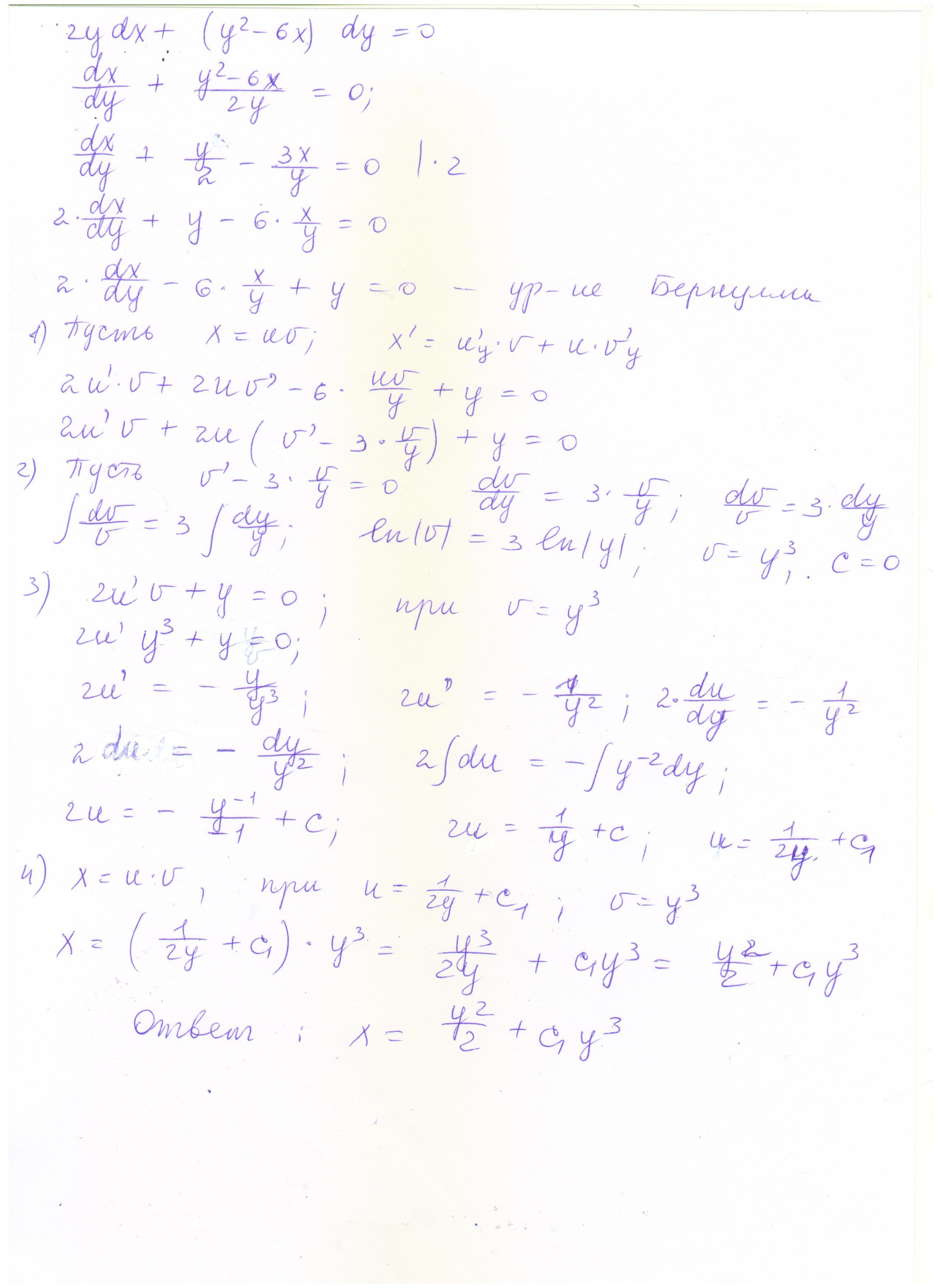
• решить дифференциальное уравнение

    2ydx + (y^2 - 6x)dy = 0

Ответы 1

  • Смотри приложенное решение
    answer img
    • Автор:

      rylanul49
    • 2 года назад
    • 4
  • Добавить свой ответ

Еще вопросы

Войти через Google

или

Забыли пароль?

У меня нет аккаунта, я хочу Зарегистрироваться

How much to ban the user?
1 hour 1 day 100 years