• Дам 36 баллов, Помогите пожалуйста решить. Очень срочно (╥﹏╥)
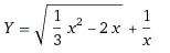
    Y=sqrt((1/3x^2)-2x)+1/x Найдите область определения функции

    question img

Ответы 1

  • 8599 решение лолллщу
    • Автор:

      diyae5zr
    • 6 лет назад
    • 0
  • Добавить свой ответ

Еще вопросы

Войти через Google

или

Забыли пароль?

У меня нет аккаунта, я хочу Зарегистрироваться

How much to ban the user?
1 hour 1 day 100 years