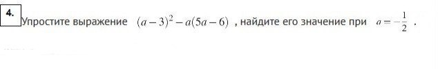
• 7 класс,помогите пожалуйста с:
    Уравнение или выражение(хотя бы одно из заданий))

    question img
    question img

Ответы 2

  • Спасибо большое!!!^-^
    • Автор:

      mini
    • 6 лет назад
    • 0
  • Пожалуйста)))
  • Добавить свой ответ

Войти через Google

или

Забыли пароль?

У меня нет аккаунта, я хочу Зарегистрироваться

How much to ban the user?
1 hour 1 day 100 years