• Решите уравнения:
    1) (x² - 5x)(x² - 5x + 10) + 24 = 0
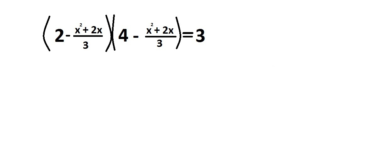
    2)
    ( первое необязательно )

    question img

Ответы 1

  • 1)(х² - 5х )(х² - 5х + 10)  + 24  = 0замена  х² - 5х   = tt(t + 10)  + 24  = 0t²  + 10t  + 24  = 0D = 10²  - 4*1*24 = 100 - 96 = 4 = 2²D> 0  -  два корня уравненияt₁ = (-10 - 2)/(2*1) = -12/2  = -6t₂ = (-10 + 2)/(2*1) = -8/2 = - 4x²  - 5x  =  - 6x²  - 5x  + 6 = 0D = (-5)² - 4*1*6 = 25 - 24 = 1 = 1² D>0  - два корня уравненияx₁ = (- (-5)  - 1)/ (2*1) = (5 - 1)/2 = 4/2  = 2x₂ = (- (-5) +1)/(2*1) = (5+1)/2 = 6/2 = 3x²  - 5x  = - 4x²  - 5x  + 4 = 0D = (-5)²  - 4*1*4 = 25 - 16 = 9 = 3²D>0  - два корня уравненияx₁ = (- (-5) - 3)/(2*1) = (5-3)/2 = 2/2 = 1x₂ = (- (-5) + 3)/(2*1) = (5+3)/2 = 8/2 = 4Ответ: х₁ = 1 ;  х₂ = 2 ;  х₃ = 3 ;  х₄ = 4 .2)(2    - (х² +2х)/3 ) ( 4  - (х² + 2х)/3  )  = 3замена: (х² + 2х)/3  =  t(2 - t)(4 - t) = 38 - 2t -  4t +  t²   - 3 = 0t² - 6t  + 5  = 0D= (-6)²  - 4*1*(-5) = 36  -  20 = 16 = 4²D>0  -  два корня уравненияt₁ = (- (-6)  - 4)/(2*1) = (6 - 4)/2  = 2/2  = 1t₂ = (- (-6) + 4)/(2*1) = (6 + 4)/2  = 10/2  = 5(x² + 2x)/3  = 1x²  + 2x = 1*3x²  +2x  - 3  = 0D = 2²  - 4*1*(-3) = 4+12 = 16 = 4²D>0  - два корня уравненияx₁ = (-2  - 4)/(2*1) = -6/2  =  - 3x₂ = (-2  +4)/(2*1) = 2/2  = 1(х² + 2х)/3  = 5х²  + 2х = 5 * 3х² + 2х  - 15  = 0D = 2²  - 4*1*(-15) = 4 + 60 = 64 = 8²D>0  - два корня уравнениях₁ = (-2 - 8)/(2*1) = -10/2  = - 5х₂ = (-2 +8)/(2*1) = 6/2  = 3Ответ :  х₁ = - 5 ;  х₂ = - 3 ; х₄ =  1  ;  х₅ = 3.
  • Добавить свой ответ

Войти через Google

или

Забыли пароль?

У меня нет аккаунта, я хочу Зарегистрироваться

How much to ban the user?
1 hour 1 day 100 years