• ПОМОГИТЕ ПОЖАЛУЙСТА 6 ИНТЕГРАЛОВ 100 БАЛЛОВ!!!!!!!!!!!!!!!

    question img

Ответы 1

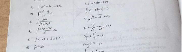
  • (1) \int\limits {9x^2+5cos(x)} \, dx = 9*\int\limits {x^2} \, dx +5* \int\limits {cos(x)} \, dx =\\\\
=9*\frac{x^3}{3}+5*sin(x)+C=3x^3+5sin(x)+C(2) \int\limits {\frac{5x^4-6}{x}} \, dx = \int\limits {5x^3-\frac{6}{x}} \, dx =\\\\
=5* \int\limits {x^3} \, dx -6* \int\limits^a_b {\frac{1}{x}} \, dx =\\\\
=5*\frac{x^4}{4}-6*ln|x|+C=\\\\
=\frac{5}{4}x^4-6*ln|x|+C(3) \int\limits {\frac{x}{\sqrt{3-2x^2}}} \, dx = \int\limits {\frac{2x}{2\sqrt{3-2x^2}}} \, dx = \int\limits {\frac{1}{2\sqrt{3-2x^2}}} \, d(x^2) =\\\\=
\int\limits {\frac{1}{-4\sqrt{3-2x^2}}} \, d(-2x^2)=\int\limits {\frac{1}{-4\sqrt{3-2x^2}}} \, d(3-2x^2)=\\\\
=[t=3-2x^2]=-\frac{1}{4}* \int\limits {\frac{1}{\sqrt{t}}} \, dt=-\frac{1}{4}* \int\limits {t^{-\frac{1}{2}}} \, dt=\\\\
=-\frac{1}{4}*\frac{t^{\frac{1}{2}}}{\frac{1}{2}}+C=-\frac{\sqrt{t}}{2}+C=-\frac{\sqrt{3-2x^2}}{2}+C(4) \int\limits {\frac{(x\sqrt{x}-3)^2}{x^3}} \, dx = \int\limits {\frac{x^3-6x^{\frac{3}{2}}-9}{x^3}} \, dx = \int\limits {1} \, dx -6 \int\limits^a_b {x^{-\frac{3}{2}}} \, dx - 9*\int\limits {x^{-3}} \, dx =\\\\
=x-6*\frac{x^{-\frac{1}{2}}}{-\frac{1}{2}}-9*\frac{x^{-2}}{-2}+C=\\\\
=x+\frac{12}{\sqrt{x}}+\frac{9}{2x^2}+C(5) \int\limits {x^2(1+2x)} \, dx = \int\limits {x^2+2x^3} \, dx = \int\limits {x^2} \, dx +2* \int\limits {x^3} \, dx =\\\\=\frac{x^3}{3}+2*\frac{x^4}{4}+C=
\frac{x^3}{3}+\frac{x^4}{2}+C(6) \int\limits {e^{-3x}} \, dx = \int\limits {\frac{e^{-3x}}{-3}} \, d(-3x) 
=[t=-3x]=\\\\=-\frac{1}{3}* \int\limits {e^t} \, dt=-\frac{1}{3}e^t+C=\\\\
=-\frac{1}{3}e^{-3x}+C
    • Автор:

      nevin
    • 6 лет назад
    • 0
  • Добавить свой ответ

Войти через Google

или

Забыли пароль?

У меня нет аккаунта, я хочу Зарегистрироваться

How much to ban the user?
1 hour 1 day 100 years