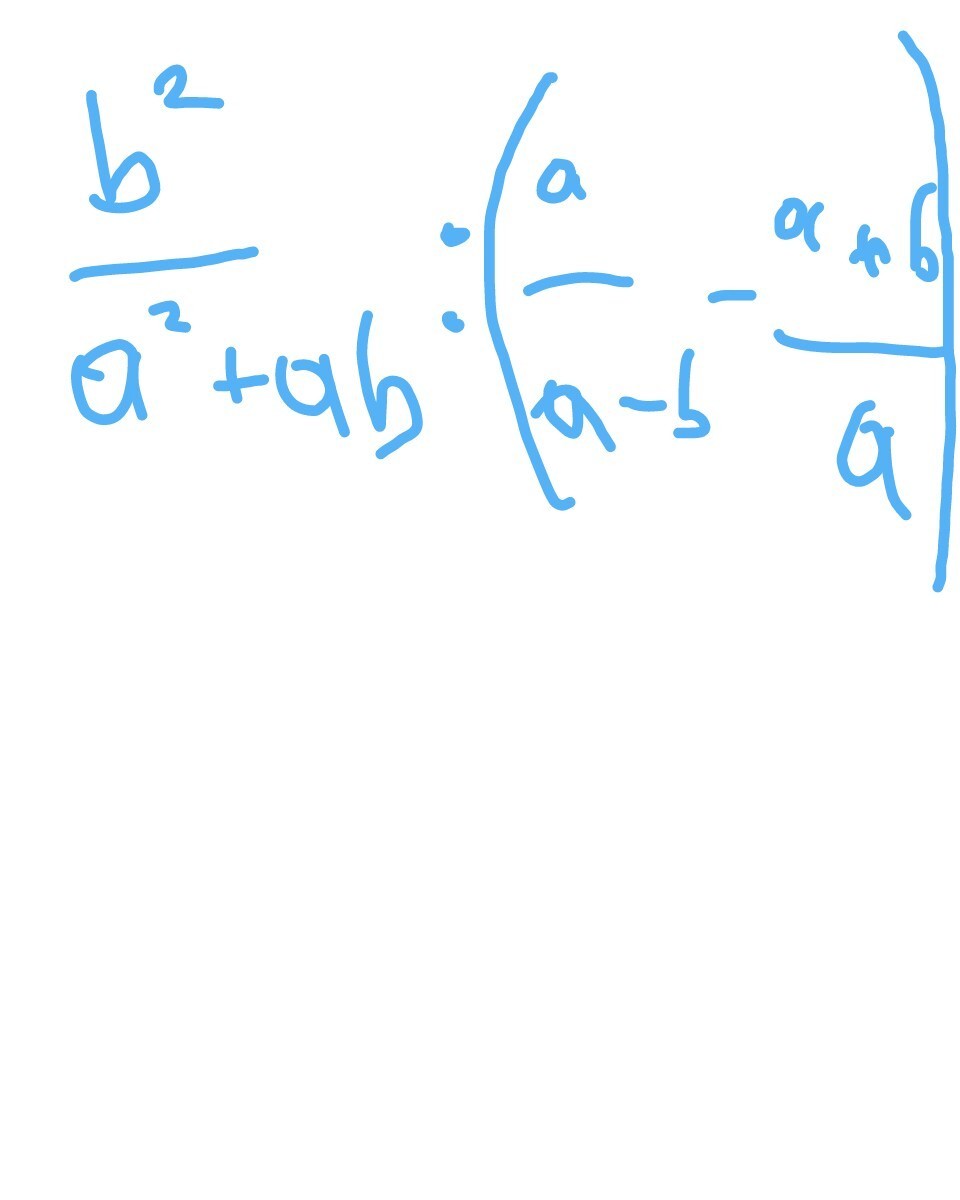
• решите подробнее пожалуйста, я не понимаю вообще как это решать ! Задание: b^2/a^2+ab:(a/a-b - a+b/a) нужно упростить

    question img

Ответы 2

  • я тоже с photomatch могу решить,мне нужно объяснить подробнее
  • удачи)))))))))))))))))
    answer img
  • Добавить свой ответ

Войти через Google

или

Забыли пароль?

У меня нет аккаунта, я хочу Зарегистрироваться

How much to ban the user?
1 hour 1 day 100 years