• СРОЧНОООО! ПОМОГИТЕ!
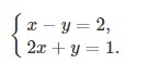
     Укажите значение суммы x1 + y1 , где (x1; y1) – решение системы уравнений

    question img

Ответы 1

  • Спасибо вам большое!
  • Добавить свой ответ

Войти через Google

или

Забыли пароль?

У меня нет аккаунта, я хочу Зарегистрироваться

How much to ban the user?
1 hour 1 day 100 years