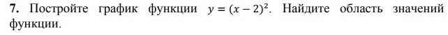
• ПОМОГИТЕ ПОЖАЛУЙСТА СРОЧНО!!!!!!!Постройте график функции
    y=(x-2)2 Найдите область значений функции. С ПОДРОЮНЫМ РЕШЕНИЕМ ПОЖАЛУЙСТА

    question img

Ответы 1

  • Кривовато, но думаю ты поймёшь
    answer img
  • Добавить свой ответ

Войти через Google

или

Забыли пароль?

У меня нет аккаунта, я хочу Зарегистрироваться

How much to ban the user?
1 hour 1 day 100 years