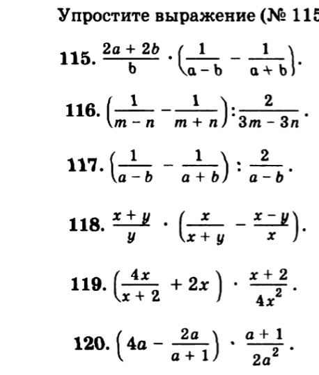
• Упростите выражения (115-120).

    Помогите пж очень нужно

    question img

Ответы 1

  • 115(4/a-b)116(3n/m+n)117(b/a+b)118(y/x)119(4+x/2x)120(2a+1/2)
    • Автор:

      tito
    • 6 лет назад
    • 0
  • Добавить свой ответ

Войти через Google

или

Забыли пароль?

У меня нет аккаунта, я хочу Зарегистрироваться

How much to ban the user?
1 hour 1 day 100 years