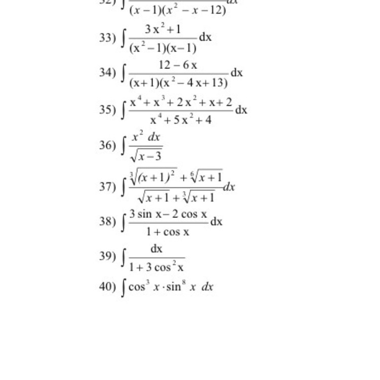
• Помогите решить интегралы 35,37,38 и 39 . Пожалуйста, срочно

    question img

Ответы 1

  • Посмотрите предложенный вариант, оформление не соблюдалось; проверка не проводилась.
    answer img
    • Автор:

      pascual49
    • 6 лет назад
    • 0
  • Добавить свой ответ

Войти через Google

или

Забыли пароль?

У меня нет аккаунта, я хочу Зарегистрироваться

How much to ban the user?
1 hour 1 day 100 years