• Помогите пожалуйста решить примеры!!!!!
    Умоляю помогите!!!!!
    Заранее спасибо большое!!!!!

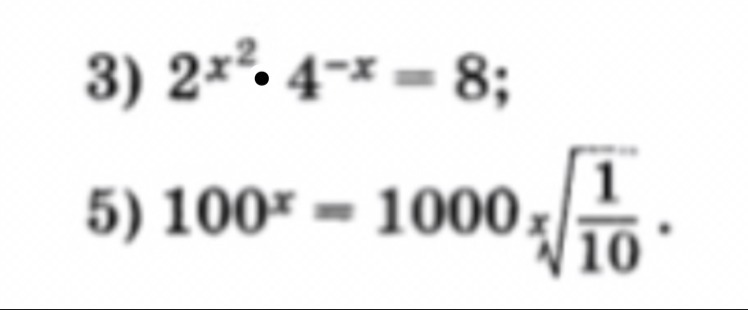
    question img

Ответы 6

  • Что? Я так не понимаю!
    • Автор:

      livia
    • 6 лет назад
    • 0
  • у меня в описании все понятно или нет 1/2 10^2 это 100 привел общее основание для того что бы спустить степени что бы избавится от корня квадратно знаменатель расположен перед корнем числитель после корня поэтому получилась у меня дробь 1/2 потому 1/10 10^2=100 значит нужно 10^2 что бы получить 100 2 как знаменатель ставится перед корнем 1 это в числителе то есть так как x это должна быть 1 x стоит перед корнем подставляем 2 получается 10^2 =100
  • по формулам при умножении показатели(степени складываются) при делении степени вычитаются
  • напиши мне будем не у всех общаться в переписке можешь задавать вопросы
    • Автор:

      julio
    • 6 лет назад
    • 0
  • здесь тоже как будет удобнее
  • \mathtt{2^{x^2}*4^{-x}=8;~2^{x^2-2x}=2^3;~x^2-2x-3=0~\to~\left[\begin{array}{ccc}\mathtt{x_1=-1}\\\mathtt{x_2=3}\end{array}ight}\mathtt{100^x=1000\sqrt[x]{\frac{1}{10}};~10^{2x-3}=(\frac{1}{10})^{\frac{1}{x}}=(10)^{-\frac{1}{x}};~2x^2-3x+1=0}ответ: \mathtt{\left[\begin{array}{ccc}\mathtt{x_1=\frac{1}{2}}\\\mathtt{x_2=1}\end{array}ight}
  • Добавить свой ответ

Еще вопросы

Войти через Google

или

Забыли пароль?

У меня нет аккаунта, я хочу Зарегистрироваться

How much to ban the user?
1 hour 1 day 100 years