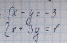
• СРОЧНООО! Решите систему ГРАФИЧЕСКИ! Даю 35 баллов

    question img

Ответы 2

  • Надо таблицей, подставлять
    • Автор:

      pickles
    • 6 лет назад
    • 0
  • Вот решение ответ:x=-33;y=-30
    answer img
    • Автор:

      bo87
    • 6 лет назад
    • 0
  • Добавить свой ответ

Войти через Google

или

Забыли пароль?

У меня нет аккаунта, я хочу Зарегистрироваться

How much to ban the user?
1 hour 1 day 100 years