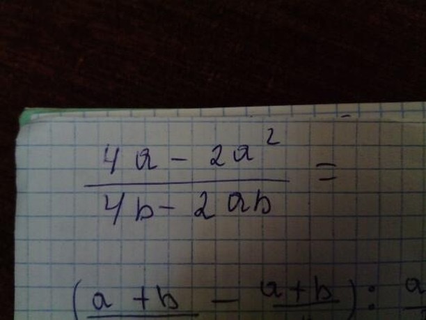
• 1)сократите дробь (рис.1)
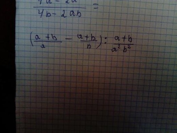
    2)упростите выражение (2рис.)

    question img
    question img

Ответы 4

  • Куда делся (в-а)
    • Автор:

      keesha
    • 6 лет назад
    • 0
  • Посмотрите внимательно там остался (в-а) и ав
    • Автор:

      billyjsgv
    • 6 лет назад
    • 0
  • Это 1)2 рисунка нет))))
    answer img
  • решение смотри на фотографии
    answer img
  • Добавить свой ответ

Еще вопросы

Войти через Google

или

Забыли пароль?

У меня нет аккаунта, я хочу Зарегистрироваться

How much to ban the user?
1 hour 1 day 100 years