• решите пожалуйста, ваше решение поможет многим
    заранее спасибо

    question img

Ответы 1

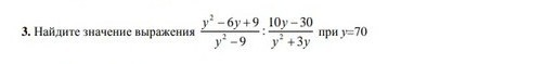
  •  \frac{y ^{2}-6y+9 }{y ^{2}-9 } :  \frac{10y-30}{y ^{2}+3y } = \frac{(y-3)(y-3)}{(y-3)(y+3)} :  \frac{10(y-3)}{y(y+3)} = \frac{(y-3)y(y+3)}{(y+3)10(y-3)} = \frac{y}{10} = \frac{70}{10} =7
    • Автор:

      jayla
    • 6 лет назад
    • 0
  • Добавить свой ответ

Войти через Google

или

Забыли пароль?

У меня нет аккаунта, я хочу Зарегистрироваться

How much to ban the user?
1 hour 1 day 100 years