• Решите пожалуйста 2 задания (очень нужно)не только ответ

    question img

Ответы 4

  • 2)7+a=0 a=-7
  • Пасиб тебе за старание (чмок)
    • Автор:

      dotscjks
    • 6 лет назад
    • 0
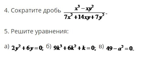
  • (x^3-xy^2)/(7x^2+14xy+7y^2)=(x(x-y)(x+y))/(7(x+y)^2)=(x(x-y))/(7(x+y))=(x^2-xy)/(7x+7y)x^3-xy^2=x(x^2-y^2)=x(x-y)(x+y)7x^2+14xy+7y^2=7(x^2+2xy+y^2)=7(x+y)^22y^2+6y=0y(2y+6)=01)y=02)2y+6=0     2y=-6     y=-349-a^2=0(7-a)(7+a)=01)7-a=0    a=72)7+a=0    a=0
  • Вот, держи. Я все вроде расписала
    answer img
    • Автор:

      sassafras
    • 6 лет назад
    • 0
  • Добавить свой ответ

Еще вопросы

Войти через Google

или

Забыли пароль?

У меня нет аккаунта, я хочу Зарегистрироваться

How much to ban the user?
1 hour 1 day 100 years