• Помогите! (отмечу как лутший) установите соответствие между функциями и их первичными

    question img

Ответы 1

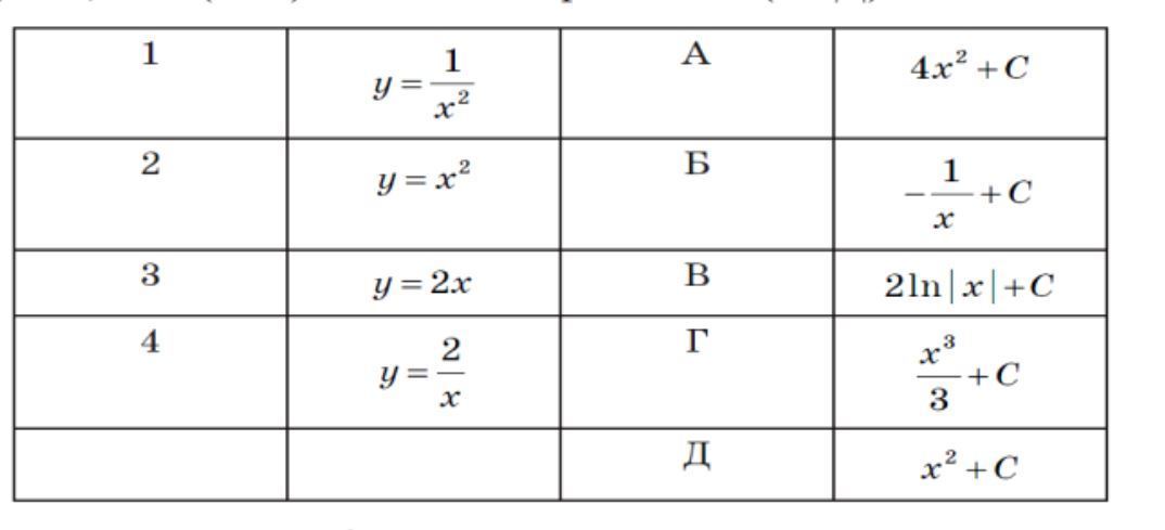
  • Б - 1В - 4Г - 2Д - 3------------
    • Автор:

      wheeler
    • 6 лет назад
    • 0
  • Добавить свой ответ

Войти через Google

или

Забыли пароль?

У меня нет аккаунта, я хочу Зарегистрироваться

How much to ban the user?
1 hour 1 day 100 years