• Помогите!  (отмечу как лутший) вычислите (розпишите детально)

    question img

Ответы 1

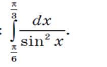
  • интеграл 1/синус в квадрате Х = - котангенсХ(подстановка верхнего предела минус подстановка нижнего предела )   при условии,что Хне равен   ПК  ,пк не принадлежит области,значит просто считаем  интеграл равен   -кот(п/3) +кот(п/6)=-0.577+0/32=-0.257 
  • Добавить свой ответ

Войти через Google

или

Забыли пароль?

У меня нет аккаунта, я хочу Зарегистрироваться

How much to ban the user?
1 hour 1 day 100 years