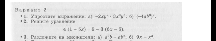
• Помогите ребята решите пожалуйста ! Через 45 мин начнётся надо решить , пожааалуйста . Спасибо ОГРОМНОЕ заранее

    question img

Ответы 1

  • фоточка тебе в помощь ;)
    answer img
  • Добавить свой ответ

Войти через Google

или

Забыли пароль?

У меня нет аккаунта, я хочу Зарегистрироваться

How much to ban the user?
1 hour 1 day 100 years