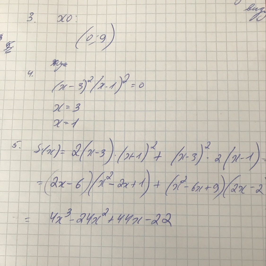
• Найдите корни, а то какая-то хрень выходит.
    4x^3-24x^2+44x-22

    question img

Ответы 2

  • там еще один корень 2
    • Автор:

      ian701
    • 6 лет назад
    • 0
  • 2(x - 3) * (x - 1)² +(x - 3)² * 2(x - 1) = 2(x - 3)(x - 1)(x - 1 - x - 3) == - 8(x - 3)(x - 1)- 8(x - 3)(x - 1) = 0x - 3 = 0  ⇒   x₁ = 3x - 1 = 0  ⇒   x₂ = 1
  • Добавить свой ответ

Войти через Google

или

Забыли пароль?

У меня нет аккаунта, я хочу Зарегистрироваться

How much to ban the user?
1 hour 1 day 100 years