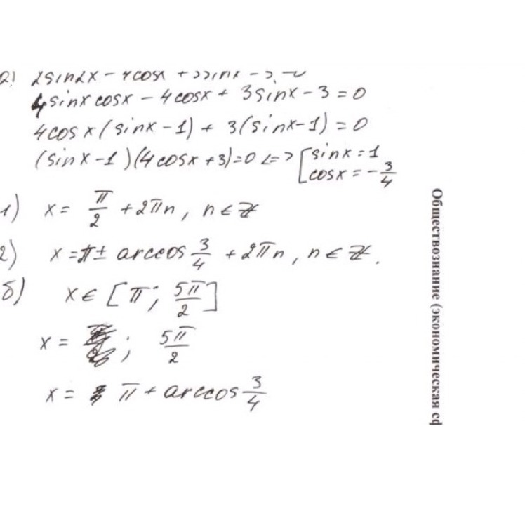
• Подскажите, пожалуйста, откуда берётся во втором pi+-? (+- понятно, а откуда ещё pi если уже есть 2pi?)

    question img

Ответы 1

  • arccos(-a)=π-arccosa///////////////////
  • Добавить свой ответ

Войти через Google

или

Забыли пароль?

У меня нет аккаунта, я хочу Зарегистрироваться

How much to ban the user?
1 hour 1 day 100 years