• РЕШИТЕ ПОЖАЛУЙСТА ЭТИ ЗАДАНИЯ
    ДАЮ 30 БАЛОВ ♥

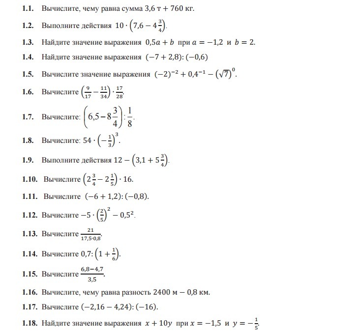
    question img

Ответы 2

  • 1. 3.6т + 760кг = 3600 + 760 = 4360кг2. (7.6 - 19/4)*10 = 76-190/4=76 - 47.5 = 28.53. 0.5*(-1.2) + 2 = -0.6 + 2 = 1.44.(- 0.7+2.8) / -0.6 = 2.1/-0.6 = -3.55.1/4 +5/2 - 1 = 7/4 = 1.756. (18/34 - 11/34)*17/28 = 7/34 *17/28 = 1/8 = 0.1257. (26/4 - 35/4):1/8 = -9/4 : 1/8 = -188.54*(-1/27) = -29.12 - (3.1+5.75) = 12 - 8.85 = 3.1510.(55/20 - 44/20 ) * 16  = 11/20 *16 = 44/5 = 0.8811. -4.8 / -0.8 = 48/8 = 612. -5*4/25- 25/100 = -4/5 - 1/4 = -16/20 - 5/20 = -21/20 = -1.0513. 21/(175*8/10) = 210/(175*8) = 21/(35*4) = 3/(5*4) = 3/20 = 0.1514.0.7:(6/6 + 1/6) = 7/10 : 7/6 =( 7 * 6) /( 10* 7) = 0.6 15. 2.1/3.5 = 21/10 : 35/10 = (21 * 10) / (10*35)= 21/35 = 3/5 = 0.616.2400 - 800 = 1600м17. - 6.4/-16 = 64/(10*16) = 4/10=0.418-1.5 + 10*(-1/5) = -1.5 + (-2) = -3.5
    • Автор:

      liahx3x
    • 6 лет назад
    • 0
  • Решение на фото.........
    answer img
  • Добавить свой ответ

Войти через Google

или

Забыли пароль?

У меня нет аккаунта, я хочу Зарегистрироваться

How much to ban the user?
1 hour 1 day 100 years