• решите пожалуйста
    ВНИМАНИЕ!
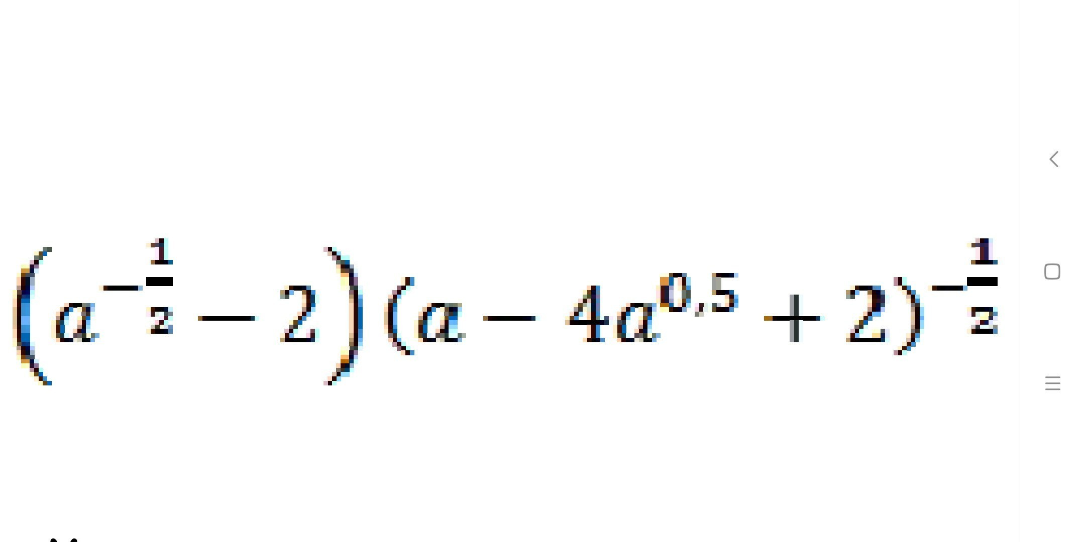
    ЭТО НЕ -1/2 ЭТО СТЕПЕНЬ -1/2

    question img

Ответы 5

  • да
  • спасибо!
  • если я еще сейчас выложу решишь?
    • Автор:

      valinto
    • 6 лет назад
    • 0
  • го
    • Автор:

      snowball
    • 6 лет назад
    • 0
  • ы, когда завтра экзамен:)(1/ a^{ \frac{1}{2} } - 2)(a-4 x^{ \frac{1}{2}} +2)^{ -\frac{1}{2} } ((1-2a^1/2)/a^1/2)*(1/(a-4a^1/2+2)^1/2)(1-2a^1/2)/a^1/2 / ((a-4a^1/2+2)^1/2)1-2 \sqrt{a} [(/tex] / a*(a^2-4a^1/2+2a))^1/21-2[tex] \sqrt{a} / (a^2-4a^3/2+2a)^1/21-2 \sqrt{a} / (a^2-4 \sqrt{ a^{3} } +2a)^1/21-2 \sqrt{a} / (a^2-4a \sqrt{a} +2a)^1/2Ответ: 1-2 \sqrt{a}  \sqrt{ a^{2}-4a \sqrt{a} +2a }
    • Автор:

      dingo7uga
    • 6 лет назад
    • 0
  • Добавить свой ответ

Войти через Google

или

Забыли пароль?

У меня нет аккаунта, я хочу Зарегистрироваться

How much to ban the user?
1 hour 1 day 100 years