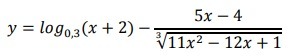
• Найдите область определения функции (см. прикрепленный файл)

    question img

Ответы 3

  • на основание логарифма 0,3 можно внимание не обращать? знаки нигде не меняются?
    • Автор:

      kissy
    • 6 лет назад
    • 0
  • x+2>0корень третьей степени из 11х^2-12x+1 не равно 0
  • Решение задания приложено
    answer img
  • Добавить свой ответ

Еще вопросы

Войти через Google

или

Забыли пароль?

У меня нет аккаунта, я хочу Зарегистрироваться

How much to ban the user?
1 hour 1 day 100 years