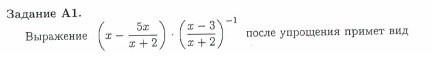
• варианты ответа:
    1) [tex] \frac{1}{x} [/tex]
    2) x
    3) 3x
    4) [tex] \frac{3}{x} [/tex]
    5) [tex] \frac{1}{3x} [/tex]

    question img

Ответы 1

  • таким образом, ответ 2
    answer img
  • Добавить свой ответ

Еще вопросы

Войти через Google

или

Забыли пароль?

У меня нет аккаунта, я хочу Зарегистрироваться

How much to ban the user?
1 hour 1 day 100 years