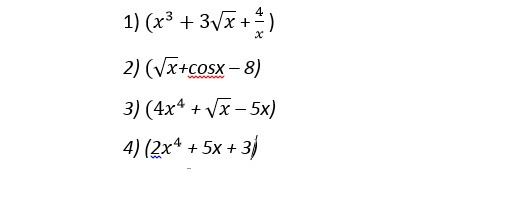
• Вычислите производную функции, желательно с обьяснениями никак понять не могу((

    question img

Ответы 2

  • пожалуйста
    • Автор:

      emilie
    • 6 лет назад
    • 0
  • решение задания смотри на фотографии
    answer img
    • Автор:

      bridget
    • 6 лет назад
    • 0
  • Добавить свой ответ

Войти через Google

или

Забыли пароль?

У меня нет аккаунта, я хочу Зарегистрироваться

How much to ban the user?
1 hour 1 day 100 years