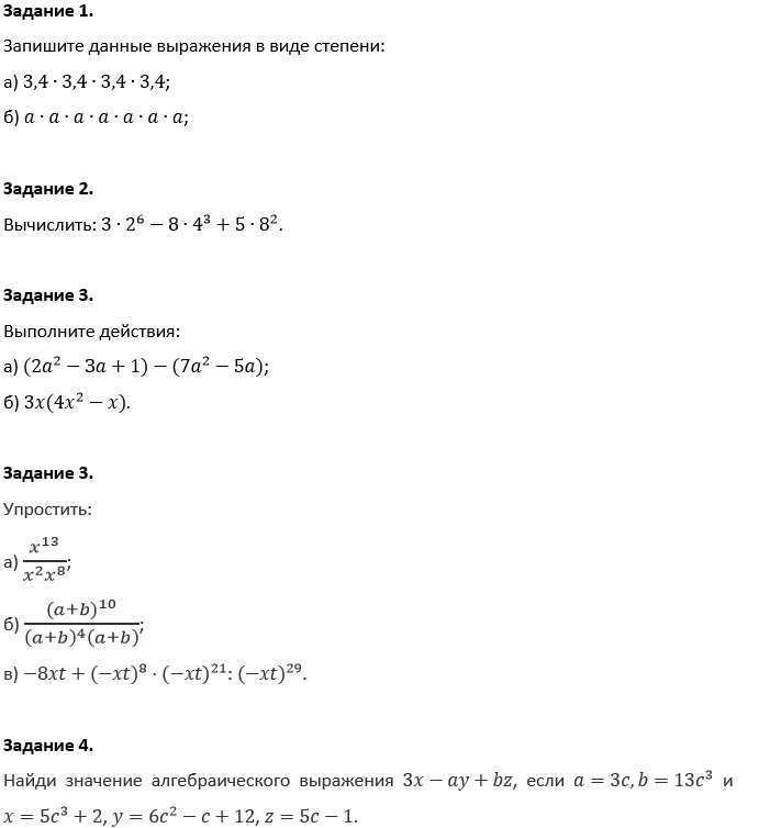
• Срочно!!! дам много балов!!!! Помогите пожалуйста!!!

    question img

Ответы 6

  • Тут все ответы на вопросы?
  • Спасибо!!!
  • на все что были у меня на фотографии. Проверь.
    • Автор:

      tiggy
    • 6 лет назад
    • 0
  • я сделал всё.
    • Автор:

      pecan
    • 6 лет назад
    • 0
  • решение задания смотри на фотографии
    answer img
    • Автор:

      diya
    • 6 лет назад
    • 0
  • Смотри приложенное решение

    answer img
  • Добавить свой ответ

Еще вопросы

Войти через Google

или

Забыли пароль?

У меня нет аккаунта, я хочу Зарегистрироваться

How much to ban the user?
1 hour 1 day 100 years