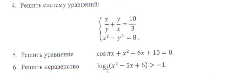
• Решите, пожалуйста! Нужно срочно сверить свои ответы!

    question img

Ответы 7

  • В системе ошибка. Поищите. Две первых пары лишние. 1^2-3^2=1-9=-8, а надо 8.
    • Автор:

      sandyxmpz
    • 6 лет назад
    • 0
  • А 5 не сможете?
  • Приложила третий лист. Ход такой, но не уверена, нужна помощь, может кто посмотрит, что подскажет.
  • Спасибо!
    • Автор:

      ericzm7y
    • 6 лет назад
    • 0
  • Исправлено задание 5
    • Автор:

      bradyn
    • 6 лет назад
    • 0
  • Решение на фото , удачи
    answer img
  • Решение задания приложено

    answer img
    • Автор:

      urielqqjj
    • 6 лет назад
    • 0
  • Добавить свой ответ

Войти через Google

или

Забыли пароль?

У меня нет аккаунта, я хочу Зарегистрироваться

How much to ban the user?
1 hour 1 day 100 years