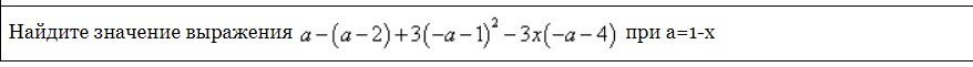
• Я знаю ответ, но ни как не могу упростить так, чтобы получить его правильно (даже с тупой подстановкой) (ответ 14) мне необходимо решение, хочу понять чего не вижу, за ранее, спасибо)

    question img

Ответы 1

  • a-(a-2)+3(-a-1)^2-3x(-a-4) = a - a + 2 + 3( { a}^{2}  + 2a + 1)  + 3ax + 12x = 2 + 3 {a}^{2}  + 6a + 3 + 3ax + 12x = 3 {a}^{2}  + 6a + 3ax + 12x + 53 {(1 - x)}^{2}  + 6(1 - x) + 3x(1 - x) + 12x + 5 = 3(1 - 2x + {x}^{2}) + 6 - 6x + 3x - 3 {x}^{2}  + 12x + 5 = 3 - 6x + 3 {x}^{2}  + 6 - 6x + 3x - 3 {x}^{2}  + 12x  + 5 =  {x}^{2} (3 - 3) + x( - 6 - 6 + 3 + 12) + (3 + 6 + 5) = 3x + 14
  • Добавить свой ответ

Войти через Google

или

Забыли пароль?

У меня нет аккаунта, я хочу Зарегистрироваться

How much to ban the user?
1 hour 1 day 100 years