• Пожалуйста, помогите решить (если можно, с ответами, проверяю себя)

    question img
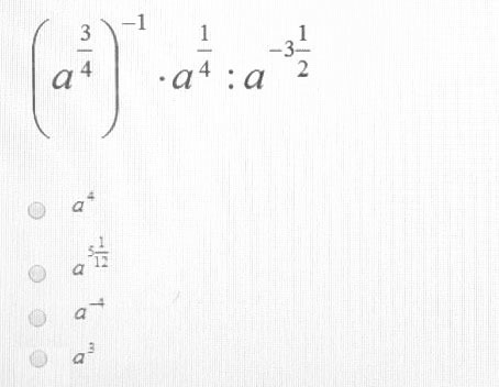
    question img
    question img

Ответы 2

  • Спасибо! Всё сошлось!)
    • Автор:

      lexiehorn
    • 6 лет назад
    • 0
  • 1)(a^3/4)^-1 * a^1/4 : a^-3*1/2. При умножении степени складываются, при делении вычитаются, степень в степень - умножаются. Тогда получаем.

    a^(-3/4+1/4+3*1/2)= a^(-1/2+3*1/2) = a^3

    Ответ: a^3

    2)В скобках буду писать основание логарифма.

    log(1/3)54 - 1/3log(1/3)8 +log(1/3)81

    1/3log(1/3)8 = log(1/3)2. Заменим разность логарифмов логарифмом частного, тогда log(1/3)54 - log(1/3)2 = log(1/3)27.

    Получаем log(1/3)27+log(1/3)81 = -3 -4 = -7

    Ответ: -7

    3)Корень существует тогда, когда подкоренное выражение неотрицательно. Т.е.

    (1/7)^-2x > 1/49 Перепишем это так.

    7^2x > 7^-2. Т.к. 7>1 , то знак не меняем и 2x>-2 т.е x>-1

    Ответ: x> -1

    • Автор:

      MaTLove
    • 6 лет назад
    • 0
  • Добавить свой ответ

Войти через Google

или

Забыли пароль?

У меня нет аккаунта, я хочу Зарегистрироваться

How much to ban the user?
1 hour 1 day 100 years