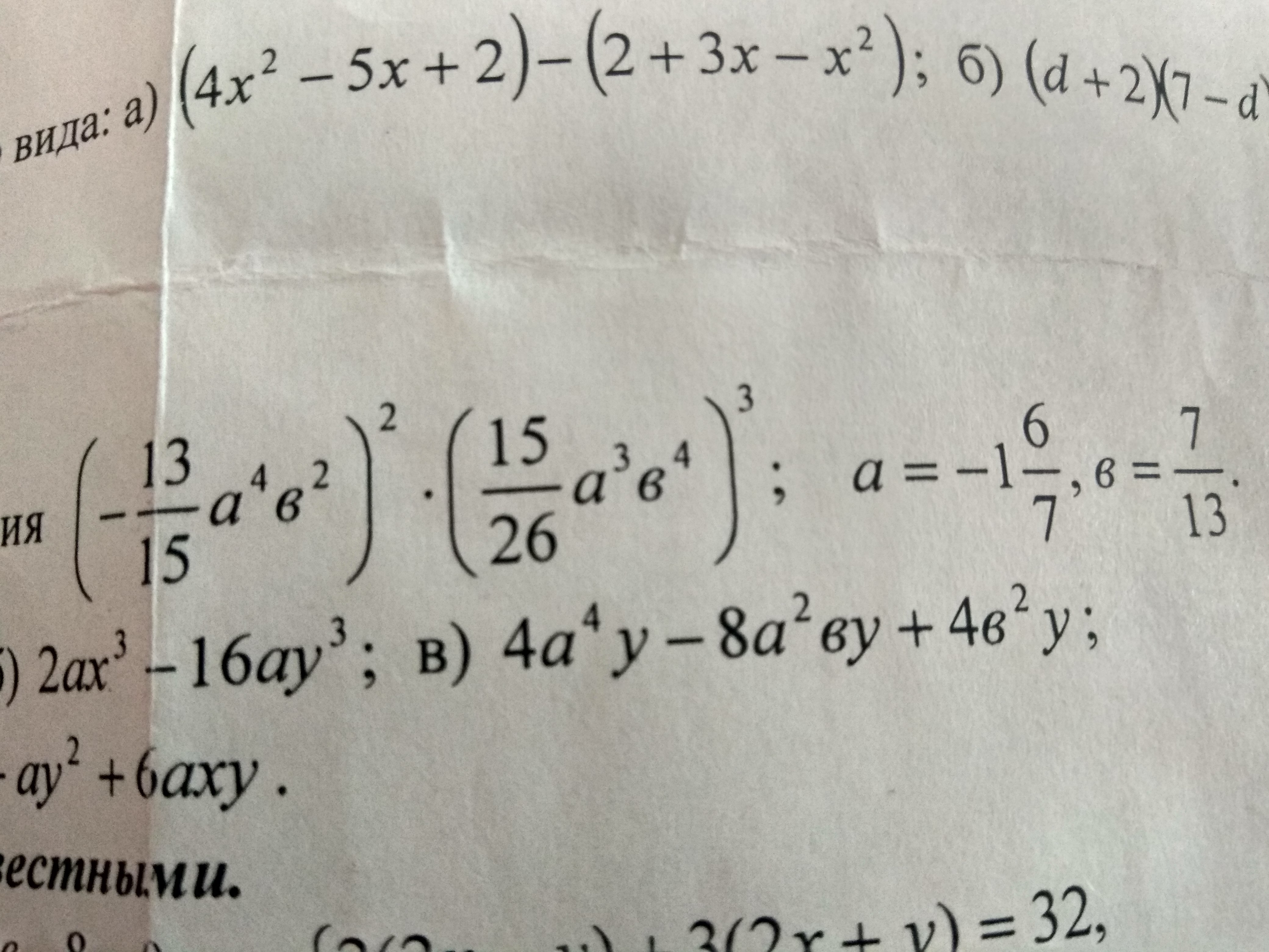
• Алгебра. Упростить и найти значения выражения.

    question img

Ответы 2

  • (-169/225а8б4)*(225/676а9б12)
  • Ответ:.....................
    answer img
    • Автор:

      gillian
    • 6 лет назад
    • 0
  • Добавить свой ответ

Войти через Google

или

Забыли пароль?

У меня нет аккаунта, я хочу Зарегистрироваться

How much to ban the user?
1 hour 1 day 100 years