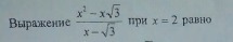
• [tex] \frac{x^{2} -x\sqrt{3}}{x-\sqrt{3}} [/tex] Помогите решить

    question img

Ответы 1

  •  \frac{ {x}^{2}  - x \sqrt{3} }{x -  \sqrt{3} }  =  \frac{x(x -  \sqrt{3}) }{x -  \sqrt{3} }  = x \\  \\ При х = 2 : х = 2 ОТВЕТ: 2
    • Автор:

      ricardo55
    • 6 лет назад
    • 0
  • Добавить свой ответ

Войти через Google

или

Забыли пароль?

У меня нет аккаунта, я хочу Зарегистрироваться

How much to ban the user?
1 hour 1 day 100 years