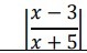
• Верно ли утверждения, что данная запись ( что на картинке ) равна, если бы числитель и знаменатель были бы отдельно в модуле?

    question img

Ответы 1

  • Верно, если x не равен -5

  • Добавить свой ответ

Войти через Google

или

Забыли пароль?

У меня нет аккаунта, я хочу Зарегистрироваться

How much to ban the user?
1 hour 1 day 100 years