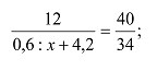
• решите пожалуйста!!!! очень легко, но не для меня)))

    question img

Ответы 6

  • если я не ошибаюсь, то при + в знаменателе нельзя сокращать
    • Автор:

      tarakbjh
    • 6 лет назад
    • 0
  • у вас правильный ответ, но непонятное решение
    • Автор:

      skyelara
    • 6 лет назад
    • 0
  • можно сокращать, если весь знаменатель делится на число, два слагаемых в знаменателе делятся на 6
    • Автор:

      jamiya
    • 6 лет назад
    • 0
  • В1 тн напиши в лс отправлю по подробнее
    • Автор:

      eduardo75
    • 6 лет назад
    • 0
  • Смотрите ответ на фотографии
    answer img
  • Решение внизу на фото

    answer img
    • Автор:

      minnie82
    • 6 лет назад
    • 0
  • Добавить свой ответ

Войти через Google

или

Забыли пароль?

У меня нет аккаунта, я хочу Зарегистрироваться

How much to ban the user?
1 hour 1 day 100 years