• Помогите решить систему уравнений, за лето все забыла
    Желательно все 2 системы в письменном варианте, заранее спасибо

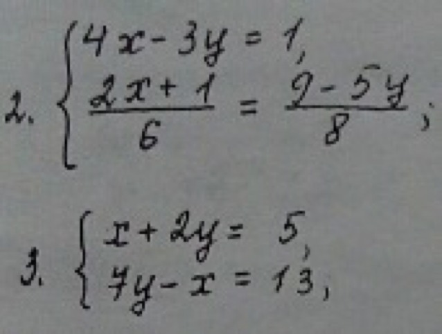
    question img

Ответы 1

  • Не самый простой способ, но всё же...--------------------------------------
    answer img
  • Добавить свой ответ

Еще вопросы

Войти через Google

или

Забыли пароль?

У меня нет аккаунта, я хочу Зарегистрироваться

How much to ban the user?
1 hour 1 day 100 years