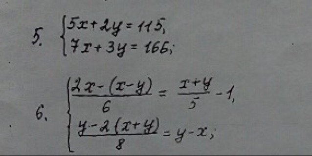
• Помогите решить систему уравнений, желательно все 2 на листочке

    question img

Ответы 1

  • Решение на фотках. Удачи)))))))))))

    answer img
  • Добавить свой ответ

Войти через Google

или

Забыли пароль?

У меня нет аккаунта, я хочу Зарегистрироваться

How much to ban the user?
1 hour 1 day 100 years