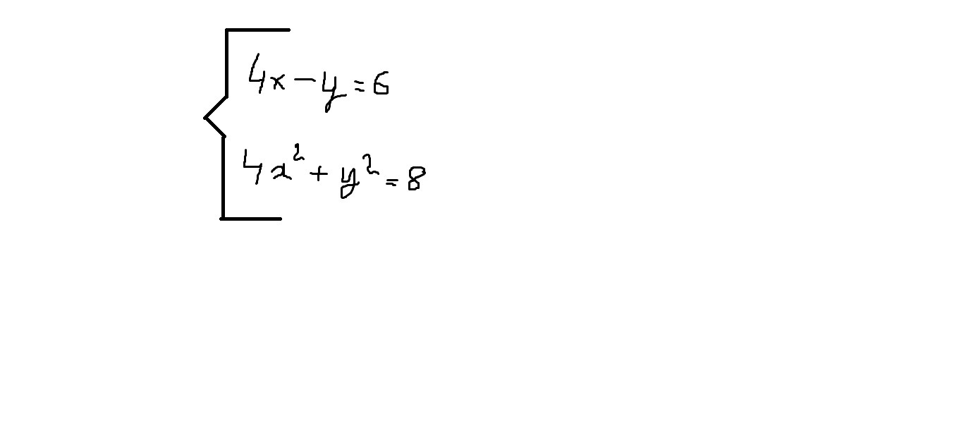
• Решите систему уравнений подстановкой.
    Желательно на листочке.
    Пожалуйста

    question img

Ответы 1

  • 4x - y = 6 \\ 4 {x}^{2}  +  {y}^{2}  = 8 \\  \\ y = 4x - 6 \\ 4 {x}^{2}  +  {(4x - 6)}^{2}  = 8 \\  \\ y = 4x - 6 \\ 4 {x}^{2}  + 16 {x}^{2}  - 48x + 36 = 8 \\ 20 {x}^{2}  - 48x + 28 = 0 \\ 5 {x}^{2}  - 12x + 7 = 0 \\ d =  {b}^{2}  - 4ac = 144 - 4 \times 5 \times 7 = 144 - 14 0 = 4 \\ x1 =  \frac{12 + 2}{2 \times 5}  =  \frac{14}{10}  = 1.4 \\ x2 =  \frac{12 - 2}{2 \times 5}  =  \frac{10}{10}  = 1 \\ y1 = 4 \times 1.4 - 6 =  - 0.4 \\ y2 = 4 \times 1 - 6 =  - 2Ответ: (1,4; -0,4), (1; -2)
  • Добавить свой ответ

Еще вопросы

Войти через Google

или

Забыли пароль?

У меня нет аккаунта, я хочу Зарегистрироваться

How much to ban the user?
1 hour 1 day 100 years