• Помогите решить,надо подставить,что бы получилось равенство

    question img

Ответы 4

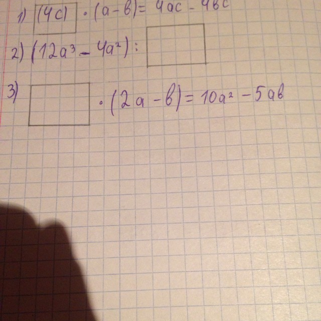
  • Во втором =3а -1
    • Автор:

      remington
    • 6 лет назад
    • 0
  • Помоги решить пожалуйста
    • Автор:

      ella
    • 6 лет назад
    • 0
  • Если так то будет (12a^3-4a^2) : 4a^2 = 3a-1
    • Автор:

      taylor14
    • 6 лет назад
    • 0
  • Во втором блоке забыла дописать

    3) 5a * (2a-b) = 10a^2 - 5ab

    • Автор:

      alexis51
    • 6 лет назад
    • 0
  • Добавить свой ответ

Войти через Google

или

Забыли пароль?

У меня нет аккаунта, я хочу Зарегистрироваться

How much to ban the user?
1 hour 1 day 100 years