• помогите пожалуйста решить кв. уравнения найти корни x1,x2

    question img

Ответы 1

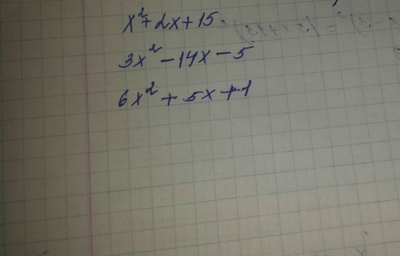
  • 1) D=4+60=64

    x1=3; x2=-5;

    2)D= 196+60=256

    x1=5; x2= - 1/3

    3) D=1;

    x1 = 1/3; x2= -0,5

    • Автор:

      rosie
    • 6 лет назад
    • 0
  • Добавить свой ответ

Войти через Google

или

Забыли пароль?

У меня нет аккаунта, я хочу Зарегистрироваться

How much to ban the user?
1 hour 1 day 100 years