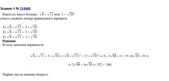
• Как из 2√88 и 6√10 352 и 260? Объясните, пожалуйста

    question img

Ответы 3

  • тоочно, спасибо!
  • ¯\_(ツ)_/¯
    • Автор:

      shadow44
    • 6 лет назад
    • 0
  • Обе части неравенства с положительными членами возвели в квадрат: 2²*88<6²*10
    • Автор:

      leland
    • 6 лет назад
    • 0
  • Добавить свой ответ

Войти через Google

или

Забыли пароль?

У меня нет аккаунта, я хочу Зарегистрироваться

How much to ban the user?
1 hour 1 day 100 years