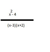
• при каких значениях переменной алгебраическая дробь не имеет смылса

    question img

Ответы 1

  • когда знаменатель (снизу) равен 0при х=-2 и х=3
    • Автор:

      harry8ij2
    • 6 лет назад
    • 0
  • Добавить свой ответ

Войти через Google

или

Забыли пароль?

У меня нет аккаунта, я хочу Зарегистрироваться

How much to ban the user?
1 hour 1 day 100 years