• Решите, пожалуйста:
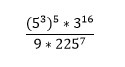
    (5^3)^5*3^16:9*225^7

    question img

Ответы 1

  • 1) (5^3)^5=5^15 , числитель 5^15*3^16 2) 9=3^2 3) 225=3^2*5^2, тогда (3^2*5^2)^7=3^14*5^14 4) знаменатель 3^16*5^14, 5) делим ч. на з., показатели вычитаются =3^0*5^1=5 ответ
    • Автор:

      pumpkin
    • 6 лет назад
    • 0
  • Добавить свой ответ

Войти через Google

или

Забыли пароль?

У меня нет аккаунта, я хочу Зарегистрироваться

How much to ban the user?
1 hour 1 day 100 years