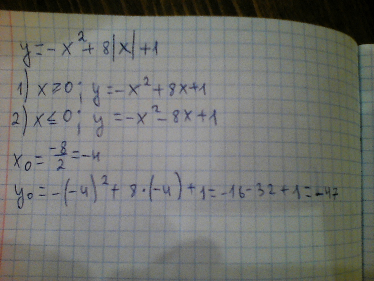
• Я не понимаю где х>0 к чему это?В каких случаях как подписывать?Объясните мне все что под 1) и 2)

    question img

Ответы 6

  • Ой я умираю от недосыпа(Ябы могла по новой схеме это понять
    • Автор:

      wood
    • 6 лет назад
    • 0
  • Я уже такое разобрала
  • Хотела чтобы помогли графики
    • Автор:

      kaiden
    • 6 лет назад
    • 0
  • А нет я знаю как их чертить
  • я не понимаю эти знаки что это ох
    • Автор:

      ami
    • 6 лет назад
    • 0
  • y=-|x|^2+8|x|+1;

    x_0=-\frac{8}{-2}=4

    y_0=-|4|^2+8*|4|+1=-16+32+1=33-16=17

    И не надо никакие x>0 и тд использовать (раскрытие модуля)

  • Добавить свой ответ

Еще вопросы

Войти через Google

или

Забыли пароль?

У меня нет аккаунта, я хочу Зарегистрироваться

How much to ban the user?
1 hour 1 day 100 years