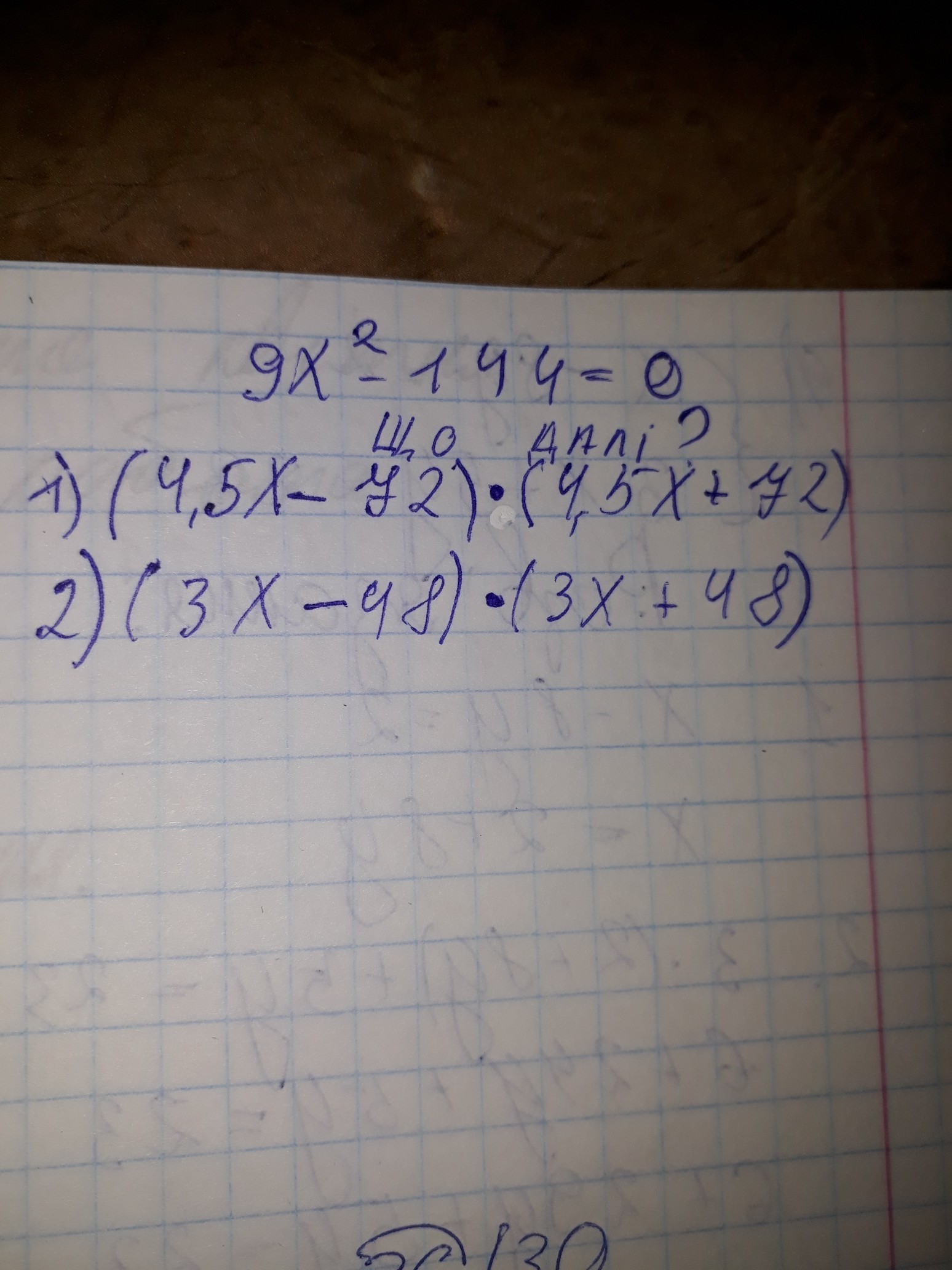
• Какой вариант верный ? 1) или 2)

    [tex]9x^{2} - 144 = 0[/tex]
    Рівняння

    question img

Ответы 6

  • немного не то
  • вам нужно обязательно разложить левую сторону?
    • Автор:

      pedro63
    • 6 лет назад
    • 0
  • сейчас добавлю другой вариант решения
    • Автор:

      suzyd7ov
    • 6 лет назад
    • 0
  • мне уже ответили, спасибо
  • обновите страницу
    • Автор:

      flint38
    • 6 лет назад
    • 0
  • \displaystyle \tt 9x^2-144=0\\9x^2=144\\x^2=144:9\\x^2=16\\x=б4

    Ответ: х=-4; х=4

    -----------------------------------------------

    Или так:

    9х² - 144 = 0

    (3х)² - 12² = 0

    (3х+12)(3х-12) = 0

    3х + 12 = 0     или     3х - 12 = 0

    3х = -12                      3х = 12

    х = -4                          х = 4

    Ответ: х=-4; х=4

  • Добавить свой ответ

Войти через Google

или

Забыли пароль?

У меня нет аккаунта, я хочу Зарегистрироваться

How much to ban the user?
1 hour 1 day 100 years