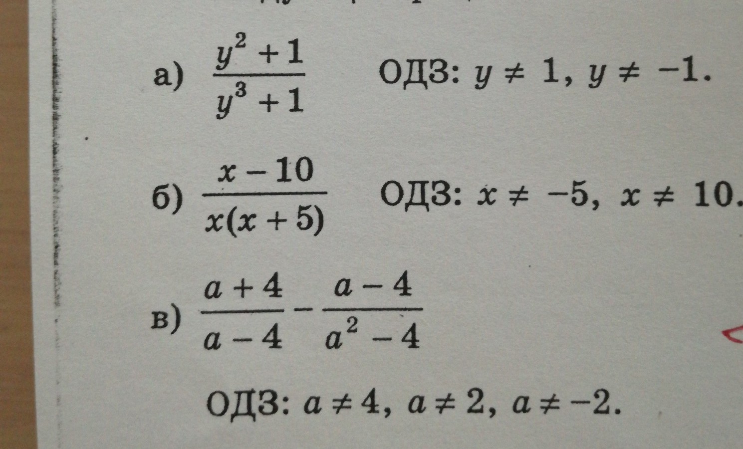
• Верно ли названа область допустимых значений для следующих рациональных выражений

    question img

Ответы 1

  • для а ОДЗ y (не равно) -1для б ОДЗ x (не равно) -5для в ОДЗ верно написано
  • Добавить свой ответ

Войти через Google

или

Забыли пароль?

У меня нет аккаунта, я хочу Зарегистрироваться

How much to ban the user?
1 hour 1 day 100 years