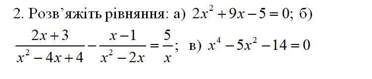
• Сделайте пжжжжжжжж.Даю мноо балов)Срочно!!!!!!!!!!!!!!!!!!!!Решите уравнения!!!!!!111

    question img

Ответы 2

  • Спасибо!!!!!!
  • в)x^4-5x^2-14=0Замена: x^2=xx^2-5x-14=0D=25+56=81x_{1}=\frac{5+9}{2}=7x_2=\frac{5-9}{2}=-2Обратная замена:x^2=xx^2=7x=\sqrt{7}x^2=-2 Не удовлетворяет ОДЗОтвет: \sqrt{7}
    answer img
    • Автор:

      jasiah
    • 6 лет назад
    • 0
  • Добавить свой ответ

Войти через Google

или

Забыли пароль?

У меня нет аккаунта, я хочу Зарегистрироваться

How much to ban the user?
1 hour 1 day 100 years