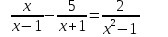
• помогите, пожалуйста решить данное уравнение.

    question img

Ответы 2

  • вроде бы поняла, спасибо.
    • Автор:

      kaiden561
    • 6 лет назад
    • 0
  • (X-1) (x+1)

    X(x+1)-5(x-1)=2

    X

    • Автор:

      hansen
    • 6 лет назад
    • 0
  • Добавить свой ответ

Войти через Google

или

Забыли пароль?

У меня нет аккаунта, я хочу Зарегистрироваться

How much to ban the user?
1 hour 1 day 100 years