• Необходимо решить уравнение матричного типа. Буду благодарен за помощь :З
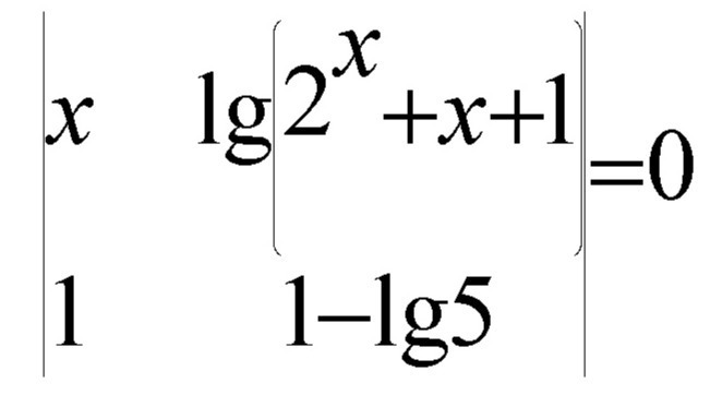
    Пример во вложении, на всякий случай напишу так:
    | x.   lg((2^x)+x+1) |
    |.                           | = 0
    | 1.         1-lg5 |

    question img

Ответы 2

  • Спасибо большое, поищу)
    • Автор:

      isaiah
    • 6 лет назад
    • 0
  • Загугли определитель матрицы 2х2, NxN (сайт не дает мне добавить ссылку на вики)

    Раскрываешь определитель и решаешь

    answer img
  • Добавить свой ответ

Войти через Google

или

Забыли пароль?

У меня нет аккаунта, я хочу Зарегистрироваться

How much to ban the user?
1 hour 1 day 100 years