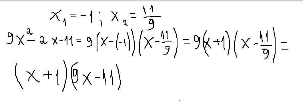
• какое сделали действие чтобы получилась последняя скобка?Куда исчезла 9 перед первой скобкой и что случилось с до второй скобкой и почему с первой ничего не сделали.Помогите пожалуйста.

    question img

Ответы 10

  • Ну а первую то почему не умножили, что за бред.
  • не бред. почему должны умножать вторую? умножают только одну скобку.
    • Автор:

      kramer85
    • 6 лет назад
    • 0
  • ведь множитель один, его и вносят по распределительному закону умножения под одну из скобок
  • А точно ведь
    • Автор:

      roberson
    • 6 лет назад
    • 0
  • предпочтительнее наверное все-таки дробь убрать
  • а так оставить можно было
  • если бы дроби не было
  • Здравствуйте, если здесь будете, посмотрите мой вопрос, пожалуйстаю
    • Автор:

      luke66
    • 6 лет назад
    • 0
  • Последнюю скобку умножили на эту самую девятку, вот она и исчезла.

    Хорошего дня :)

    • Автор:

      ray93
    • 6 лет назад
    • 0
  • 9•( х+1)•(х-11/9)=( х+1)•[9•(х-11/9)]==(х+1)(9•х-9•11/9)=(х+1)(9х-11)переместительный закон умноженияa•b•c=b•a•cну и распределительный закон умноженияc(d-e)=cd-ce
    • Автор:

      abbie7uwe
    • 6 лет назад
    • 0
  • Добавить свой ответ

Войти через Google

или

Забыли пароль?

У меня нет аккаунта, я хочу Зарегистрироваться

How much to ban the user?
1 hour 1 day 100 years